← Back

如何在绘图中插入数学公式?

Published at 2025-08-16 03:23:48Author DK001195 viewsfrom

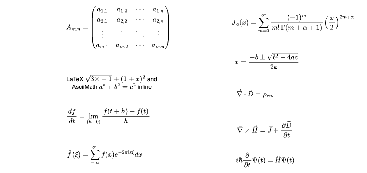
在文本形状中使用 LaTeX 或 AsciiMath 输入数学方程式。

  • AsciiMath 放在 ` 之间,例如:`a^2+b^2 = c^2`
  • LaTeX 放在 $$ 之间,例如:$$\sqrt{3×-1}+(1+x)^2$$
  • 行内 LaTeX 放在 \(\) 之间,例如:\(\sqrt{3×-1}+(1+x)^2\)

你可以在同一段文本中混合使用行内 LaTeX 和 AsciiMath,例如:

LaTeX \(\sqrt{3×-1}+(1+x)^2\) 和 AsciiMath `a^b + b^2 = c^2`

刀刻数学公式

在我们的在线编辑器中查看此示例

启用数学排版

从菜单中选择“设置 > 数学排版”。 刀刻数学排版设置

启用数学排版将使用 MathJax 渲染数学方程式。MathJax 能整齐地渲染方程式,并且在所有浏览器中都能正常工作。

通过相同的菜单项禁用数学排版,即可查看和编辑方程式的 LaTeX 或 AsciiMath 代码。

Loading...